在球球大作战中,团战情况下我们通常都会用四分速合法来快速位移或者逃跑,但是如果是一个人呢?我们该怎么办呢?今天切游就给大家说说旋转分身怎么玩,希望大家看完有所帮助。
球球大作战旋转分身操作指南

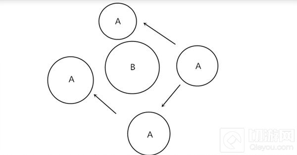
如上图,我方A需要吃掉敌方,个人模式如果使用四分速合会吃掉友方,此时便可以使用旋转分身加速合体来迅速靠近敌人。

如上图,A先向左下方分一次身,再往左上方分一次,达到从B的下方180°绕过去的效果,然后再使用速合,一切都会OK。
旋转分身学会了吗?如果学会了,那就快去实际操作一下吧~祝大家游戏愉快!
街机台球大师
体育竞速球球急速躲避
休闲益智拂晓
角色扮演跃动小子
角色扮演数独九宫格
休闲益智
心动小镇
冒险解谜金铲铲之战
经营策略梦幻魔法屋
经营策略飞机大厨师
经营策略超人打怪兽
休闲益智贪吃蛇争霸模拟器
休闲益智恐龙世界生存
经营策略
千年之旅
角色扮演中至斗地主
棋牌桌游健身房模拟器
经营策略战争策略模拟器
经营策略
凡人修仙传:人界篇
角色扮演
初音未来:缤纷舞台
音乐舞蹈脑力突击大比拼
射击枪战悠游斗地主
棋牌桌游
特种部队:集结
射击枪战橡皮人超级英雄
休闲益智城市枪械大师
休闲益智城市拯救者
休闲益智天天解压
休闲益智同城游火拼双扣
棋牌桌游宝宝牙医小课堂
休闲益智无敌大梗王
休闲益智火拼双扣
棋牌桌游掌上修仙
角色扮演乱斗小飞侠
角色扮演莎莎公主梦
经营策略芊芊公主梦
经营策略神雕侠侣2
角色扮演中华铁路
经营策略
凡应
角色扮演途游捕鱼
棋牌桌游大香蕉呀大香蕉
角色扮演巨型马桶人大战
休闲益智梦想超市经营
经营策略魔幻水上乐园
射击枪战蛋仔来闯关
休闲益智真实钓鱼大师
休闲益智破晓开心斗地主
棋牌桌游倒霉蛋大冒险
角色扮演仙境传说:爱如初见
角色扮演现代空战3D
射击枪战狙击手模拟器
射击枪战